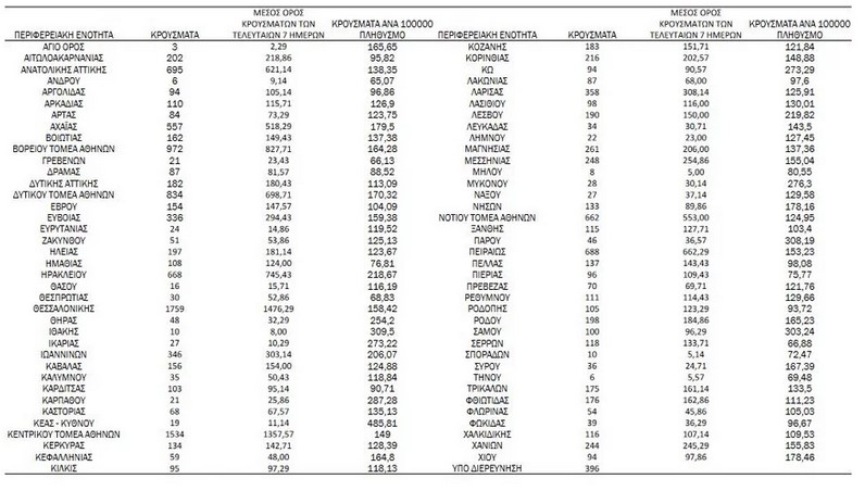
Ο ΕΟΔΥ ανακοίνωσε σήμερα (24/2) 15.829 νέα κρούσματα κορωνοϊού.
Η Αττική καταγράφει τετραψήφιο αριθμό μολύνσεων με 6.078 κρούσματα, ενώ και η Θεσσαλονίκη ακολουθεί με 1.696.
Αναλυτικότερα τα κρούσματα στην Αττική
- Ανατολική Αττική 758
- Βόρειος Τομέας Αθήνας 1006
- Δυτική Αττική 216
- Δυτικός Τομέας Αθήνας 838
- Κεντρικός Τομέας Αθήνας 1688
- Νήσων 104
- Νότιος Τομέας Αθήνας 670
- Πειραιάς 798
