Ελλάδα

Κατανομή κρουσμάτων 10/05: Πού εντοπίζονται

Κατανομή κρουσμάτων 10/05:  Πού εντοπίζονται

Ανακαλύψτε περισσότερα άρθρα στα αποτελέσματα αναζήτησης

Προσθήκη του pagenews.gr στην Google
Κατανομή κρουσμάτων 10/05: Σταθεροποιητικές είναι οι τάσεις που καταγράφονται στην ανακοίνωση του ΕΟΔΥ.

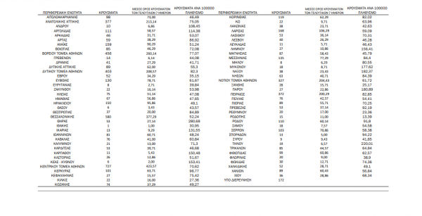
Ο ΕΟΔΥ ανακοίνωσε ότι εντοπίστηκαν 6.416 νέα κρούσματα. Στην Αττική εντοπίστηκαν 2.814 από τα συνολικά 6.416 νέα κρούσματα, ενώ στην Περιφερειακή Ενότητα Θεσσαλονίκης καταγράφηκαν 580 νέες λοιμώξεις.

Ο συνολικός αριθμός των ατόμων που νόσησαν ανέρχεται σε 3.371.051 (ημερήσια μεταβολή +0.2%), εκ των οποίων 48.9% άνδρες. Ο αριθμός πιθανών νέων επαναλοιμώξεων που καταγράφηκαν τις τελευταίες 24 ώρες ήταν 651 ενώ από την αρχή της πανδημίας SARS-CoV-2 ο συνολικός αριθμός εκτιμάται σε 126.929(3.6% του συνολικού αριθμού των θετικών αποτελεσμάτων). https://www.in.gr/wp-content/uploads/2022/05/ATTIKI.png

Η ανακοίνωση του ΕΟΔΥ

Οι νέοι θάνατοι ασθενών με COVID-19 είναι 27, ενώ από την έναρξη της επιδημίας έχουν καταγραφεί συνολικά 29.444 θάνατοι. Το 95.6% είχε υποκείμενο νόσημα ή/και ηλικία 70 ετών και άνω. Ο αριθμός των ασθενών που νοσηλεύονται διασωληνωμένοι είναι 196 (64.3% άνδρες). Η διάμεση ηλικία τους είναι 71 έτη. To 92.9% έχει υποκείμενο νόσημα ή/και ηλικία 70 ετών και άνω. Μεταξύ των ασθενών που νοσηλεύονται διασωληνωμένοι, 101 (51.53%) είναι ανεμβολίαστοι ή μερικώς εμβολιασμένοι και 95 (48.47%) είναι πλήρως εμβολιασμένοι. Από την αρχή της πανδημίας έχουν εξέλθει από τις ΜΕΘ 4.635 ασθενείς.

Οι εισαγωγές νέων ασθενών COVID-19 στα νοσοκομεία της επικράτειας είναι 105 (ημερήσια μεταβολή -3.67%). Ο μέσος όρος εισαγωγών του επταημέρου είναι 127 ασθενείς.Η διάμεση ηλικία των κρουσμάτων είναι 36 έτη (εύρος 0.2 έως 112 έτη), ενώ η διάμεση ηλικία των θανόντων είναι 79 έτη (εύρος 0.2 έως 106 έτη).

Δείγματα που έχουν ελεγχθεί Από την 1η Ιανουαρίου 2020 μέχρι σήμερα, στα εργαστήρια που διενεργούν ελέγχους για τον νέο κοροναϊό (SARS-CoV-2) και που δηλώνουν συστηματικά το σύνολο των δειγμάτων που ελέγχουν, έχουν συνολικά ελεγχθεί 11.114.538 κλινικά δείγματα ενώ από Μονάδες Υγείας και Κλιμάκια του ΕΟΔΥ που διενεργούν ελέγχους Rapid Ag έχουν ελεγχθεί 69.657.231 δείγματα. O μέσος όρος του επταημέρου είναι 110.998 δειγματοληπτικοί έλεγχοι.